Podmioty zainteresowane złożeniem oferty na nabycie ww. nieruchomości proszone są o składanie ofert w zaklejonych kopertach listem poleconym lub pocztą kurierską do dnia 31 marca 2020 roku z dopiskiem „OFERTA” oraz informacją jakiego miasta lub miast oferta dotyczy. Istnieje możliwość złożenia oferty na pakiet nieruchomości. Oferty należy składać lub przesyłać na adres: Alior Bank S.A. – Departament Logistyki ul. Łopuszańska 38d 02 – 232 Warszawa Komisja ds. sprzedaży nieruchomości

Oferta powinna zawierać:
1) imię, nazwisko i adres oferenta lub nazwę firmy wraz z siedzibą oferenta i aktualnym odpisem z właściwego rejestru, jeżeli oferentem jest osoba prawna, jednostka organizacyjna nie posiadająca osobowości prawnej lub osoba fizyczna prowadząca działalność gospodarczą, numer Identyfikacji Podatkowej (NIP), numer telefonu, adres e-mail;
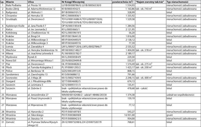
2) oferowaną cenę nabycia wyrażoną w kwocie netto plus ofertę dla najmu zwrotnego (najem zwrotny dotyczy tylko wskazanych w tabeli nieruchomości);
3) formę sfinansowania transakcji oraz zobowiązanie do poniesienia wszystkich kosztów związanych z zawarciem umowy sprzedaży i ujawnieniem praw w księgach wieczystych;
4) datę sporządzenia oferty.
Oferta powinna być podpisana przez oferenta lub przez osoby upoważnione do składania oświadczeń woli w imieniu oferenta. Decyzja o wyborze oferenta, który zostanie zakwalifikowany do drugiego etapu konkursu (negocjacje), zostanie podjęta w ciągu 30 dni od dnia otwarcia ofert, o czym oferenci zostaną niezwłocznie powiadomieni za pośrednictwem poczty elektronicznej. Bank zastrzega możliwość zażądania od oferentów zakwalifikowanych do drugiego etapu postępowania wadium w wysokości.
• 10% wartości oferty - jeżeli jej wysokość nie przekracza 500 000 PLN, lub
• 5% wartości oferty – jeżeli jej wysokość przekracza 500 000 PLN.
Wyboru najkorzystniejszej oferty Bank dokona w oparciu o następujące kryteria: wysokość zaoferowanej ceny, weryfikacja kontrahenta oraz pochodzenie środków stanowiących 75% wartości oferty. Alior Bank nie jest zobowiązany do wyboru oferty proponującej najwyższą cenę nabycia nieruchomości. Alior Bank zastrzega, że akceptacja oferty wymaga zgody Zarządu Banku wyrażonej w formie Uchwały na sprzedaż przedmiotowej/przedmiotowych nieruchomości. Ponadto Alior Bank zastrzega sobie prawo swobodnego wyboru oferty, jak również zamknięcia postępowania bez wybrania którejkolwiek z ofert oraz do unieważnienia postępowania lub odstąpienia od niego bez podania przyczyn. W takich przypadkach żadnemu z oferentów nie będą przysługiwały żadne roszczenia wobec Alior Banku.
Informacje o nieruchomościach można uzyskać na stronie internetowej www.aliorbank.pl, mailowo: [email protected] lub telefonicznie: 782 891 166